| Name | Last modified | Size | Description | |
|---|---|---|---|---|
| Parent Directory | - | |||
| LizardPassPanorama.jpg | 2023-07-11 14:07 | 3.6M | ||
| LizardPassPanorama.txt | 2026-04-09 16:08 | 1.7K | ||
| NSA.jpeg | 2023-07-11 14:07 | 218K | ||
| NSA.txt | 2026-04-09 11:35 | 1.7K | ||
| aeroplane.png | 2023-07-11 14:07 | 45K | ||
| aeroplane.txt | 2026-04-09 12:38 | 2.1K | ||
| alien_herbie.png | 2023-07-11 14:07 | 314K | ||
| alien_herbie.txt | 2026-04-09 15:02 | 1.9K | ||
| alienbkgrnd.png | 2023-07-11 14:07 | 66K | ||
| alienbkgrnd.txt | 2026-04-09 13:20 | 1.2K | ||
| aliens.jpg | 2023-07-11 14:07 | 105K | ||
| aliens.txt | 2026-04-09 14:01 | 1.7K | ||
| ambiguity_lurieonfentanyl.jpg | 2025-01-31 12:31 | 168K | ||
| ambiguity_lurieonfentanyl.txt | 2026-04-09 14:34 | 2.0K | ||
| ambiguity_throwthemout.jpg | 2023-07-11 14:07 | 673K | ||
| ambiguity_throwthemout.txt | 2026-04-09 15:33 | 1.6K | ||
| ancientevils.png | 2023-07-11 14:07 | 153K | ||
| ancientevils.txt | 2026-04-09 14:31 | 2.6K | ||
| andthatswhy.jpg | 2023-07-11 14:07 | 46K | ||
| andthatswhy.txt | 2026-04-09 12:46 | 1.5K | ||
| appleii.jpg | 2023-07-11 14:07 | 295K | ||
| appleii.txt | 2026-04-09 15:00 | 1.6K | ||
| arabic_script.png | 2023-07-11 14:07 | 103K | ||
| arabic_script.txt | 2026-04-09 13:58 | 9.8K | ||
| argonath.jpg | 2023-07-11 14:07 | 1.9M | ||
| argonath.txt | 2026-04-09 15:57 | 1.8K | ||
| arock.jpg | 2023-07-11 14:07 | 30K | ||
| arock.txt | 2026-04-09 12:10 | 1.1K | ||
| arrival_heptapod.jpg | 2023-07-11 14:07 | 37K | ||
| arrival_heptapod.txt | 2026-04-09 12:23 | 1.4K | ||
| ashes.jpg | 2023-07-11 14:07 | 52K | ||
| ashes.txt | 2026-04-09 12:56 | 1.5K | ||
| asl_cheese.gif | 2023-07-11 14:07 | 747K | ||
| asl_cheese.txt | 2026-04-09 15:37 | 14K | ||
| asl_dad.gif | 2023-07-11 14:07 | 757K | ||
| asl_dad.txt | 2026-04-09 15:38 | 1.4K | ||
| asl_dead.gif | 2023-07-11 14:07 | 1.2M | ||
| asl_dead.txt | 2026-04-09 15:47 | 1.0K | ||
| asl_die.gif | 2023-07-11 14:07 | 111K | ||
| asl_die.txt | 2026-04-09 14:06 | 779 | ||
| asl_horse.gif | 2023-07-11 14:07 | 2.4M | ||
| asl_horse.txt | 2026-04-09 16:03 | 1.1K | ||
| asl_lawyer.gif | 2023-07-11 14:07 | 2.7M | ||
| asl_lawyer.txt | 2026-04-09 16:05 | 1.2K | ||
| asl_lazy.gif | 2023-07-11 14:07 | 1.5M | ||
| asl_lazy.txt | 2026-04-09 15:51 | 1.0K | ||
| asl_like.gif | 2023-07-11 14:07 | 518K | ||
| asl_like.txt | 2026-04-09 15:24 | 1.2K | ||
| asl_mom.gif | 2023-07-11 14:07 | 441K | ||
| asl_mom.txt | 2026-04-09 15:17 | 912 | ||
| asl_otter.gif | 2023-07-11 14:07 | 1.1M | ||
| asl_otter.txt | 2026-04-09 15:44 | 779 | ||
| asl_paper.gif | 2023-07-11 14:07 | 2.8M | ||
| asl_paper.txt | 2026-04-09 16:06 | 1.1K | ||
| asl_pourdrink.gif | 2023-07-11 14:07 | 2.0M | ||
| asl_pourdrink.txt | 2026-04-09 16:00 | 698 | ||
| asl_white.gif | 2023-07-11 14:07 | 793K | ||
| asl_white.txt | 2026-04-09 15:39 | 1.0K | ||
| asl_yourewelcome.gif | 2023-07-11 14:07 | 566K | ||
| asl_yourewelcome.txt | 2026-04-09 15:28 | 1.0K | ||
| automobile.png | 2023-07-11 14:07 | 37K | ||
| automobile.txt | 2026-04-09 12:25 | 1.8K | ||
| backing_up.jpg | 2023-07-11 14:07 | 338K | ||
| backing_up.txt | 2026-04-09 15:07 | 1.8K | ||
| bankvault.jpg | 2023-07-11 14:07 | 68K | ||
| bankvault.txt | 2026-04-09 13:22 | 1.6K | ||
| bathtub.png | 2023-07-11 14:07 | 16K | ||
| bathtub.txt | 2026-04-09 11:51 | 1.3K | ||
| batman.jpg | 2023-07-11 14:07 | 61K | ||
| batman.txt | 2026-04-09 13:10 | 1.7K | ||
| batmanpow.jpg | 2023-07-11 14:07 | 32K | ||
| batmanpow.txt | 2026-04-09 12:16 | 1.6K | ||
| batmansuperman.jpg | 2023-07-11 14:07 | 31K | ||
| batmansuperman.txt | 2026-04-09 12:11 | 1.6K | ||
| bcsflags.png | 2023-07-11 14:07 | 94K | ||
| bcsflags.txt | 2026-04-09 13:48 | 15K | ||
| bcsmap.png | 2023-07-11 14:07 | 195K | ||
| bcsmap.txt | 2026-04-09 14:42 | 5.5K | ||
| beads.jpg | 2023-07-11 14:07 | 24K | ||
| beads.txt | 2026-04-09 12:00 | 1.7K | ||
| bearsrepeating.jpg | 2023-07-11 14:07 | 655K | ||
| bearsrepeating.txt | 2026-04-09 15:32 | 1.1K | ||
| bedsit.png | 2023-07-11 14:07 | 91K | ||
| bedsit.txt | 2026-04-09 13:42 | 1.3K | ||
| bedsitting.png | 2023-07-11 14:07 | 58K | ||
| bedsitting.txt | 2026-04-09 13:05 | 1.0K | ||
| beeftonight.jpg | 2023-07-11 14:07 | 207K | ||
| beeftonight.txt | 2026-04-09 14:44 | 1.2K | ||
| beerchainsaw.gif | 2023-07-11 14:07 | 972K | ||
| beerchainsaw.txt | 2026-04-09 15:42 | 1.3K | ||
| bergentable.png | 2023-07-11 14:07 | 61K | ||
| bergentable.txt | 2026-04-09 13:11 | 2.1K | ||
| bffsffts.png | 2023-07-11 14:07 | 1.7M | ||
| bffsffts.txt | 2026-04-09 15:54 | 1.1K | ||
| bilious.png | 2023-07-11 14:07 | 45K | ||
| bilious.txt | 2026-04-09 12:38 | 1.9K | ||
| binladen_mask.jpg | 2023-07-11 14:07 | 93K | ||
| binladen_mask.txt | 2026-04-09 13:47 | 1.9K | ||
| bird_grebe.jpg | 2023-07-11 14:07 | 1.8M | ||
| bird_grebe.txt | 2026-04-09 15:56 | 808 | ||
| bird_housesparrow.jpg | 2023-07-11 14:07 | 21K | ||
| bird_housesparrow.txt | 2026-04-09 11:57 | 1.1K | ||
| bird_kiwi.jpg | 2023-07-11 14:07 | 95K | ||
| bird_kiwi.txt | 2026-04-09 13:49 | 1.2K | ||
| bird_mallard.jpg | 2023-07-11 14:07 | 78K | ||
| bird_mallard.txt | 2026-04-09 13:32 | 1.2K | ||
| bird_nightingale.jpg | 2023-07-11 14:07 | 13K | ||
| bird_nightingale.txt | 2026-04-09 11:46 | 1.0K | ||
| bird_ostrich.jpg | 2023-07-11 14:07 | 240K | ||
| bird_ostrich.txt | 2026-04-09 14:50 | 1.1K | ||
| bird_penguin.jpg | 2023-07-11 14:07 | 20K | ||
| bird_penguin.txt | 2026-04-09 11:56 | 1.2K | ||
| bird_sandpiper.jpg | 2023-07-11 14:07 | 143K | ||
| bird_sandpiper.txt | 2026-04-09 14:26 | 1.5K | ||
| bird_swan.jpg | 2023-07-11 14:07 | 37K | ||
| bird_swan.txt | 2026-04-09 12:23 | 1.4K | ||
| birds_lengthsize.png | 2023-07-11 14:07 | 53K | ||
| birds_lengthsize.txt | 2026-04-09 13:01 | 11K | ||
| birds_lengthsize_line.png | 2023-07-11 14:07 | 69K | ||
| birds_lengthsize_line.txt | 2026-04-09 13:23 | 11K | ||
| birds_lengthsize_line_juv.png | 2023-07-11 14:07 | 71K | ||
| birds_lengthsize_line_juv.txt | 2026-04-09 13:25 | 1.9K | ||
| birds_waterfowl.png | 2023-07-11 14:07 | 3.8M | ||
| birds_waterfowl.pxm | 2023-07-11 14:07 | 9.3M | ||
| birds_waterfowl.txt | 2026-04-09 16:13 | 1.8K | ||
| blackguard.png | 2023-07-11 14:07 | 40K | ||
| blackguard.txt | 2026-04-09 12:32 | 1.6K | ||
| blackhole.jpg | 2023-07-11 14:07 | 32K | ||
| blackhole.txt | 2026-04-09 12:12 | 1.5K | ||
| blackhole_new.jpg | 2023-07-11 14:07 | 39K | ||
| blackhole_new.txt | 2026-04-09 12:29 | 1.2K | ||
| blackhole_revised.jpg | 2023-07-11 14:07 | 12K | ||
| blackhole_revised.txt | 2026-04-09 11:44 | 1.1K | ||
| bmw.jpg | 2023-07-11 14:07 | 64K | ||
| bmw.txt | 2026-04-09 13:15 | 1.9K | ||
| boring.jpg | 2023-07-11 14:07 | 25K | ||
| boring.txt | 2026-04-09 12:01 | 1.1K | ||
| boubakiki.png | 2023-07-11 14:07 | 52K | ||
| boubakiki.txt | 2026-04-09 12:57 | 795 | ||
| brownheadedcowbird.jpg | 2023-07-11 14:07 | 34K | ||
| brownheadedcowbird.txt | 2026-04-09 12:18 | 1.5K | ||
| brucewayne.jpg | 2023-07-11 14:07 | 74K | ||
| brucewayne.txt | 2026-04-09 13:28 | 1.2K | ||
| bubbler.jpg | 2023-07-11 14:07 | 21K | ||
| bubbler.txt | 2026-04-09 11:57 | 1.3K | ||
| bubbler_map.jpg | 2023-07-11 14:07 | 111K | ||
| bubbler_map.txt | 2026-04-09 14:06 | 15K | ||
| c3p0.jpg | 2023-07-11 14:07 | 44K | ||
| c3p0.txt | 2026-04-09 12:36 | 1.4K | ||
| cable_management.jpg | 2023-07-11 14:07 | 42K | ||
| cable_management.txt | 2026-04-09 12:35 | 1.3K | ||
| california_flag.png | 2023-07-11 14:07 | 102K | ||
| california_flag.txt | 2026-04-09 13:57 | 836 | ||
| can_phone.jpg | 2023-07-11 14:07 | 12K | ||
| can_phone.txt | 2026-04-09 11:43 | 1.0K | ||
| cannotleave.jpg | 2023-07-11 14:07 | 71K | ||
| cannotleave.txt | 2026-04-09 13:25 | 935 | ||
| caramelizedbaconwedgesalad.jpg | 2023-07-11 14:07 | 414K | ||
| caramelizedbaconwedgesalad.txt | 2026-04-09 15:14 | 833 | ||
| cash.png | 2023-07-11 14:07 | 170K | ||
| cash.txt | 2026-04-09 14:37 | 2.1K | ||
| chair_ball.jpg | 2023-07-11 14:07 | 20K | ||
| chair_ball.txt | 2026-04-09 11:56 | 1.2K | ||
| chair_dining.jpg | 2023-07-11 14:07 | 12K | ||
| chair_dining.txt | 2026-04-09 11:44 | 1.4K | ||
| chair_disc.jpg | 2023-07-11 14:07 | 188K | ||
| chair_disc.txt | 2026-04-09 14:40 | 1.5K | ||
| chair_hand.jpg | 2023-07-11 14:07 | 53K | ||
| chair_hand.txt | 2026-04-09 12:59 | 9.4K | ||
| chair_ironthrone.jpg | 2023-07-11 14:07 | 132K | ||
| chair_ironthrone.txt | 2026-04-09 14:17 | 1.5K | ||
| chair_lounger.jpg | 2023-07-11 14:07 | 12K | ||
| chair_lounger.txt | 2026-04-09 11:43 | 1.1K | ||
| chair_wiggle.jpg | 2023-07-11 14:07 | 102K | ||
| chair_wiggle.txt | 2026-04-09 13:57 | 1.5K | ||
| chairs.png | 2023-07-11 14:07 | 418K | ||
| chairs.txt | 2026-04-09 15:14 | 2.3K | ||
| chatgpt_askingghosts.png | 2026-04-03 16:11 | 573K | ||
| chatgpt_askingghosts.txt | 2026-04-09 16:15 | 5.6K | ||
| checkerboard_illusion.png | 2023-07-11 14:07 | 95K | ||
| checkerboard_illusion.txt | 2026-04-09 13:50 | 11K | ||
| checkerboard_illusion_line.png | 2023-07-11 14:07 | 137K | ||
| checkerboard_illusion_line.txt | 2026-04-09 14:23 | 11K | ||
| cia.jpg | 2023-07-11 14:07 | 28K | ||
| cia.txt | 2026-04-09 12:07 | 16K | ||
| citationneeded.jpg | 2023-07-11 14:07 | 1.4M | ||
| citationneeded.txt | 2026-04-09 15:50 | 3.9K | ||
| clickerbkgrnd.png | 2023-07-11 14:07 | 48K | ||
| clickerbkgrnd.txt | 2026-04-09 12:49 | 1.0K | ||
| clickerstripe.jpg | 2023-07-11 14:07 | 62K | ||
| clickerstripe.txt | 2026-04-09 13:12 | 1.1K | ||
| clippy.jpg | 2024-04-11 22:09 | 4.3K | ||
| clippy.txt | 2026-04-09 11:38 | 1.2K | ||
| coffee.jpg | 2023-07-11 14:07 | 436K | ||
| coffee.txt | 2026-04-09 15:16 | 1.1K | ||
| colonialism.png | 2023-07-11 14:07 | 49K | ||
| colonialism.txt | 2026-04-09 12:50 | 1.6K | ||
| comicsans.jpg | 2023-07-11 14:07 | 27K | ||
| comicsans.txt | 2026-04-09 12:03 | 882 | ||
| complication.jpg | 2023-07-11 14:07 | 96K | ||
| complication.txt | 2026-04-09 13:51 | 1.8K | ||
| computer.png | 2023-07-11 14:07 | 31K | ||
| computer.txt | 2026-04-09 12:11 | 2.0K | ||
| confederacy.png | 2023-07-11 14:07 | 35K | ||
| confederacy.txt | 2026-04-09 12:19 | 2.1K | ||
| conspiracy.jpg | 2023-07-11 14:07 | 482K | ||
| conspiracy.txt | 2026-04-09 15:21 | 1.4K | ||
| corydoras.jpg | 2023-07-11 14:07 | 2.3M | ||
| corydoras.txt | 2026-04-09 16:01 | 3.9K | ||
| corydoras1pl.jpg | 2023-07-11 14:07 | 3.6M | ||
| corydoras1pl.txt | 2026-04-09 16:10 | 1.5K | ||
| corydoras1sg.jpg | 2023-07-11 14:07 | 3.6M | ||
| corydoras1sg.txt | 2026-04-09 16:11 | 1.5K | ||
| corydoras2pl.jpg | 2023-07-11 14:07 | 3.6M | ||
| corydoras2pl.txt | 2026-04-09 16:09 | 1.8K | ||
| corydoras2sg.jpg | 2023-07-11 14:07 | 3.6M | ||
| corydoras2sg.txt | 2026-04-09 16:09 | 7.0K | ||
| corydoras3pl.jpg | 2023-07-11 14:07 | 3.6M | ||
| corydoras3pl.txt | 2026-04-09 16:12 | 1.9K | ||
| corydoras3sg.jpg | 2023-07-11 14:07 | 3.6M | ||
| corydoras3sg.txt | 2026-04-09 16:11 | 7.1K | ||
| corydorastemplate.pxm | 2023-07-11 14:07 | 19M | ||
| cpluspluscalc.png | 2023-07-11 14:07 | 400K | ||
| cpluspluscalc.txt | 2026-04-09 15:13 | 2.7K | ||
| cpr_mannequin.jpg | 2023-07-11 14:07 | 55K | ||
| cpr_mannequin.txt | 2026-04-09 11:33 | 1.4K | ||
| cthulhu.jpg | 2023-07-11 14:07 | 433K | ||
| cthulhu.txt | 2026-04-09 15:15 | 1.4K | ||
| cu_boulder.jpg | 2023-07-11 14:07 | 216K | ||
| cu_boulder.txt | 2026-04-09 14:45 | 1.6K | ||
| curve.jpg | 2023-07-11 14:07 | 126K | ||
| curve.txt | 2026-04-09 14:14 | 1.6K | ||
| cyrillic.gif | 2023-07-11 14:07 | 15K | ||
| cyrillic.txt | 2026-04-09 11:51 | 12K | ||
| dalek.jpg | 2023-07-11 14:07 | 49K | ||
| dalek.txt | 2026-04-09 12:51 | 1.8K | ||
| datalove.png | 2023-07-11 14:07 | 722K | ||
| datalove.txt | 2026-04-09 15:35 | 1.5K | ||
| des_des.jpg | 2023-07-11 14:07 | 58K | ||
| des_des.txt | 2026-04-09 13:08 | 1.8K | ||
| des_pa.jpg | 2023-07-11 14:07 | 59K | ||
| des_pa.txt | 2026-04-09 13:08 | 1.4K | ||
| des_spanish.jpg | 2023-07-11 14:07 | 103K | ||
| des_spanish.txt | 2026-04-09 13:59 | 1.3K | ||
| disgusted_sphinx.jpg | 2023-07-11 14:07 | 50K | ||
| disgusted_sphinx.txt | 2026-04-09 12:52 | 1.2K | ||
| diss_by_feature_en.png | 2023-07-11 14:07 | 347K | ||
| diss_by_feature_en.txt | 2026-04-09 15:08 | 2.8K | ||
| diss_by_feature_fr.png | 2023-07-11 14:07 | 332K | ||
| diss_by_feature_fr.txt | 2026-04-09 15:06 | 2.9K | ||
| diss_by_feature_importance.png | 2023-07-11 14:07 | 242K | ||
| diss_by_feature_importance.txt | 2026-04-09 14:51 | 3.3K | ||
| diss_conf.add.sum.png | 2023-07-11 14:07 | 90K | ||
| diss_conf.add.sum.txt | 2026-04-09 13:41 | 2.6K | ||
| diss_conf.rem.sum.png | 2023-07-11 14:07 | 90K | ||
| diss_conf.rem.sum.txt | 2026-04-09 13:42 | 2.3K | ||
| diss_deltabandwidth.png | 2023-07-11 14:07 | 77K | ||
| diss_deltabandwidth.txt | 2026-04-09 13:31 | 1.0K | ||
| diss_deltafeature.png | 2023-07-11 14:07 | 97K | ||
| diss_deltafeature.txt | 2026-04-09 13:52 | 1.1K | ||
| diss_encorr.png | 2023-07-11 14:07 | 603K | ||
| diss_encorr.txt | 2026-04-09 15:31 | 1.0K | ||
| diss_enfraccuracy.png | 2023-07-11 14:07 | 64K | ||
| diss_enfraccuracy.txt | 2026-04-09 13:15 | 912 | ||
| diss_enfrimportance.png | 2023-07-11 14:07 | 191K | ||
| diss_enfrimportance.txt | 2026-04-09 14:41 | 2.2K | ||
| diss_ensvm_only.png | 2023-07-11 14:07 | 321K | ||
| diss_ensvm_only.txt | 2026-04-09 15:04 | 1.7K | ||
| diss_featurelist.png | 2023-07-11 14:07 | 365K | ||
| diss_featurelist.txt | 2026-04-09 15:10 | 3.4K | ||
| diss_frcorr.png | 2023-07-11 14:07 | 597K | ||
| diss_frcorr.txt | 2026-04-09 15:30 | 1.4K | ||
| diss_groupensvm_only.png | 2023-07-11 14:07 | 107K | ||
| diss_groupensvm_only.txt | 2026-04-09 14:03 | 1.6K | ||
| diss_humanvsmachine_rankings.png | 2023-07-11 14:07 | 113K | ||
| diss_humanvsmachine_rankings.txt | 2026-04-09 14:09 | 1.2K | ||
| diss_multifeature.png | 2023-07-11 14:07 | 178K | ||
| diss_multifeature.txt | 2026-04-09 14:38 | 2.1K | ||
| diss_overallacc.png | 2023-07-11 14:07 | 142K | ||
| diss_overallacc.txt | 2026-04-09 14:25 | 1.3K | ||
| diss_rt.add.sum.png | 2023-07-11 14:07 | 92K | ||
| diss_rt.add.sum.txt | 2026-04-09 13:45 | 8.0K | ||
| diss_rt.rem.sum.png | 2023-07-11 14:07 | 92K | ||
| diss_rt.rem.sum.txt | 2026-04-09 13:46 | 2.7K | ||
| diss_stimml_human_vs_machine_con.png | 2023-07-11 14:07 | 113K | ||
| diss_stimml_human_vs_machine_con.txt | 2026-04-09 14:08 | 2.3K | ||
| diss_stimml_human_vs_machine_conex.png | 2023-07-11 14:07 | 105K | ||
| diss_stimml_human_vs_machine_conex.txt | 2026-04-09 14:02 | 7.6K | ||
| diss_stimml_human_vs_machine_ex.png | 2023-07-11 14:07 | 148K | ||
| diss_stimml_human_vs_machine_ex.txt | 2026-04-09 14:28 | 2.8K | ||
| diss_stimml_human_vs_machine_ex 2.png | 2023-07-11 14:07 | 148K | ||
| diss_stimml_human_vs_machine_ex 2.txt | 2026-04-09 14:27 | 2.8K | ||
| diss_stimml_human_vs_machine_ex_mod.png | 2023-07-11 14:07 | 113K | ||
| diss_stimml_human_vs_machine_ex_mod.txt | 2026-04-09 14:10 | 1.9K | ||
| dnn.jpg | 2024-04-24 15:28 | 104K | ||
| dnn.txt | 2026-04-09 13:59 | 2.5K | ||
| doctor.jpg | 2023-07-11 14:07 | 45K | ||
| doctor.txt | 2026-04-09 12:39 | 1.2K | ||
| doglanguages.jpg | 2023-07-11 14:07 | 5.5K | ||
| doglanguages.txt | 2026-04-09 11:39 | 1.3K | ||
| dogs_at_cards.jpg | 2023-07-11 14:07 | 510K | ||
| dogs_at_cards.txt | 2026-04-09 15:22 | 2.8K | ||
| donwurry.jpg | 2023-07-11 14:07 | 27K | ||
| donwurry.txt | 2026-04-09 12:04 | 1.2K | ||
| download.png | 2023-07-11 14:07 | 31K | ||
| download.txt | 2026-04-09 12:12 | 1.8K | ||
| dragon.png | 2023-07-11 14:07 | 186K | ||
| dragon.txt | 2026-04-09 14:40 | 1.1K | ||
| dragonfly.jpg | 2023-07-11 14:07 | 22K | ||
| dragonfly.txt | 2026-04-09 11:57 | 1.8K | ||
| drevil.jpg | 2023-07-11 14:07 | 49K | ||
| drevil.txt | 2026-04-09 12:51 | 1.2K | ||
| duck.jpg | 2023-07-11 14:07 | 5.9K | ||
| duck.txt | 2026-04-09 11:40 | 894 | ||
| dudewaitwhat.jpg | 2023-07-11 14:07 | 19K | ||
| dudewaitwhat.txt | 2026-04-09 11:55 | 1.1K | ||
| early_harddrive.jpg | 2023-07-11 14:07 | 136K | ||
| early_harddrive.txt | 2026-04-09 14:21 | 2.2K | ||
| eat.png | 2023-07-11 14:07 | 34K | ||
| eat.txt | 2026-04-09 12:17 | 1.7K | ||
| eatsleepwalk.png | 2023-07-13 21:04 | 58K | ||
| eatsleepwalk.txt | 2026-04-09 13:07 | 2.3K | ||
| ebola.jpg | 2023-07-11 14:07 | 15K | ||
| ebola.txt | 2026-04-09 11:49 | 1.2K | ||
| eht_blackhole.jpg | 2023-07-11 14:07 | 844K | ||
| eht_blackhole.txt | 2026-04-09 15:41 | 1.2K | ||
| emoji.png | 2023-07-11 14:07 | 164K | ||
| emoji.txt | 2026-04-09 14:32 | 13K | ||
| english_map.jpg | 2023-07-11 14:07 | 23K | ||
| english_map.txt | 2026-04-09 11:58 | 1.8K | ||
| ethnologue_lgtable.jpg | 2024-08-14 10:06 | 839K | ||
| ethnologue_lgtable.txt | 2026-04-09 15:40 | 830 | ||
| evilqueen.jpg | 2023-07-11 14:07 | 133K | ||
| evilqueen.txt | 2026-04-09 14:18 | 1.7K | ||
| exxon_valdez.jpg | 2023-07-11 14:07 | 88K | ||
| exxon_valdez.txt | 2026-04-09 13:40 | 1.6K | ||
| fbi.jpg | 2023-07-11 14:07 | 46K | ||
| fbi.txt | 2026-04-09 12:44 | 279 | ||
| feast.jpg | 2023-07-11 14:07 | 1.3M | ||
| feast.txt | 2026-04-09 15:48 | 2.1K | ||
| feedbackqr.jpg | 2023-07-11 14:07 | 52K | ||
| feedbackqr.txt | 2026-04-09 12:56 | 1.2K | ||
| feeding_shelter_cats_to_coyotes.jpg | 2025-06-18 11:04 | 87K | ||
| feeding_shelter_cats_to_coyotes.txt | 2026-04-09 13:39 | 948 | ||
| firefly_mal.jpg | 2023-07-11 14:07 | 119K | ||
| firefly_mal.txt | 2026-04-09 14:12 | 1.5K | ||
| fish_adam.jpg | 2023-07-11 14:07 | 1.6M | ||
| fish_adam.txt | 2026-04-09 15:53 | 4.0K | ||
| fish_dieter.jpg | 2023-07-11 14:07 | 3.0M | ||
| fish_dieter.txt | 2026-04-09 16:07 | 3.5K | ||
| fish_fishes.jpg | 2023-07-11 14:07 | 881K | ||
| fish_fishes.txt | 2026-04-09 15:41 | 3.6K | ||
| fish_jony.jpg | 2023-07-11 14:07 | 1.9M | ||
| fish_jony.txt | 2026-04-09 15:58 | 1.2K | ||
| fish_jonydieter.jpg | 2023-07-11 14:07 | 2.4M | ||
| fish_jonydieter.txt | 2026-04-09 16:02 | 3.9K | ||
| flammable.png | 2023-07-11 14:07 | 53K | ||
| flammable.txt | 2026-04-09 12:58 | 2.2K | ||
| flight.jpg | 2023-07-11 14:07 | 25K | ||
| flight.txt | 2026-04-09 12:01 | 1.2K | ||
| fmri_hindi.jpg | 2023-07-11 14:07 | 110K | ||
| fmri_hindi.txt | 2026-04-09 14:04 | 1.8K | ||
| forest.jpg | 2023-07-11 14:07 | 252K | ||
| forest.txt | 2026-04-09 14:54 | 1.5K | ||
| forestroad.jpg | 2023-07-11 14:07 | 1.2M | ||
| forestroad.txt | 2026-04-09 15:45 | 1.6K | ||
| fourier_transform.gif | 2023-07-11 14:07 | 265K | ||
| fourier_transform.txt | 2026-04-09 14:57 | 1.6K | ||
| fractal.jpg | 2023-07-11 14:07 | 216K | ||
| fractal.txt | 2026-04-09 11:34 | 1.7K | ||
| freddy.jpg | 2023-07-11 14:07 | 231K | ||
| freddy.txt | 2026-04-09 14:48 | 1.2K | ||
| gardenpath_dog.jpg | 2023-07-11 14:07 | 332K | ||
| gardenpath_dog.txt | 2026-04-09 15:06 | 2.0K | ||
| geisel.jpg | 2023-07-11 14:07 | 2.2M | ||
| geiselbackground.jpg | 2023-07-11 14:07 | 1.8M | ||
| geiselbackground.txt | 2026-04-09 15:57 | 1.9K | ||
| geonosian.jpg | 2023-07-11 14:07 | 63K | ||
| geonosian.txt | 2026-04-09 13:14 | 1.7K | ||
| gerbilsweater.jpg | 2023-07-11 14:07 | 43K | ||
| gerbilsweater.txt | 2026-04-09 12:36 | 1.4K | ||
| globalwarming.png | 2023-07-11 14:07 | 29K | ||
| globalwarming.txt | 2026-04-09 12:07 | 1.5K | ||
| google.png | 2023-07-11 14:07 | 32K | ||
| google.txt | 2026-04-09 12:14 | 1.5K | ||
| google_assistant.png | 2023-07-11 14:07 | 188K | ||
| google_assistant.txt | 2026-04-09 11:34 | 1.2K | ||
| goths.jpg | 2023-12-21 14:15 | 113K | ||
| goths.txt | 2026-04-09 14:07 | 1.4K | ||
| grammargarbage.jpg | 2023-07-11 14:07 | 82K | ||
| grammargarbage.txt | 2026-04-09 13:36 | 1.5K | ||
| grammartime.jpg | 2023-07-11 14:07 | 47K | ||
| grammartime.txt | 2026-04-09 12:48 | 1.0K | ||
| grandpasimpson.gif | 2023-07-11 14:07 | 1.5M | ||
| grandpasimpson.txt | 2026-04-09 15:52 | 1.4K | ||
| grice_prado.jpg | 2023-07-11 14:07 | 2.6M | ||
| grice_prado.txt | 2026-04-09 16:04 | 3.7K | ||
| grice_prado_orig.jpg | 2023-07-11 14:07 | 2.6M | ||
| grice_prado_orig.txt | 2026-04-09 16:04 | 3.6K | ||
| grumpygood.jpg | 2023-07-11 14:07 | 84K | ||
| grumpygood.txt | 2026-04-09 13:36 | 958 | ||
| hal9000.jpg | 2023-07-11 14:07 | 144K | ||
| hal9000.txt | 2026-04-09 14:27 | 1.4K | ||
| hal_eye.jpg | 2023-07-11 14:07 | 61K | ||
| hal_eye.txt | 2026-04-09 13:10 | 1.3K | ||
| handicapped.png | 2023-07-11 14:07 | 51K | ||
| handicapped.txt | 2026-04-09 12:54 | 2.0K | ||
| haskins_patternplayback.jpg | 2023-07-11 14:07 | 1.8M | ||
| haskins_patternplayback.txt | 2026-04-09 15:55 | 4.1K | ||
| hearts-8672.png | 2023-07-11 14:07 | 26K | ||
| hearts-8672.txt | 2026-04-09 12:03 | 1.3K | ||
| highlighter.png | 2023-07-11 14:07 | 113K | ||
| highlighter.txt | 2026-04-09 14:07 | 1.0K | ||
| hippy 2.png | 2023-07-11 14:07 | 35K | ||
| hippy 2.txt | 2026-04-09 12:19 | 1.8K | ||
| hippyhidden.png | 2023-07-11 14:07 | 32K | ||
| hippyhidden.txt | 2026-04-09 12:14 | 673 | ||
| hipster.jpg | 2023-07-11 14:07 | 170K | ||
| hipster.txt | 2026-04-09 14:36 | 2.2K | ||
| hogwarts.jpg | 2023-07-11 14:07 | 137K | ||
| hogwarts.txt | 2026-04-09 14:22 | 1.5K | ||
| horseraced_harley.jpg | 2023-07-11 14:07 | 45K | ||
| horseraced_harley.txt | 2026-04-09 12:42 | 13K | ||
| house.jpg | 2023-07-11 14:07 | 7.9K | ||
| house.txt | 2026-04-09 11:41 | 1.2K | ||
| hugelibrary.jpg | 2023-07-11 14:07 | 2.4M | ||
| hugelibrary.txt | 2026-04-09 16:02 | 1.6K | ||
| iclicker.jpg | 2023-07-11 14:07 | 13K | ||
| iclicker.txt | 2026-04-09 11:46 | 1.0K | ||
| image_as_matrix.png | 2024-04-24 15:14 | 130K | ||
| image_as_matrix.txt | 2026-04-09 14:16 | 627 | ||
| impostor.jpg | 2025-02-21 11:24 | 140K | ||
| impostor.txt | 2026-04-09 14:23 | 1.1K | ||
| in_this_photo_i_dont_like_it.jpg | 2023-07-11 14:07 | 57K | ||
| in_this_photo_i_dont_like_it.txt | 2026-04-09 13:04 | 1.0K | ||
| innerear.png | 2023-07-11 14:07 | 60K | ||
| innerear.txt | 2026-04-09 13:09 | 2.1K | ||
| interrogation.jpg | 2023-07-11 14:07 | 47K | ||
| interrogation.txt | 2026-04-09 12:49 | 1.6K | ||
| justyouropinion.jpeg | 2023-07-11 14:07 | 97K | ||
| justyouropinion.txt | 2026-04-09 13:53 | 1.4K | ||
| kayaking.jpg | 2023-07-11 14:07 | 1.8M | ||
| kayaking.txt | 2026-04-09 15:55 | 1.2K | ||
| keming.jpg | 2023-07-11 14:07 | 23K | ||
| keming.txt | 2026-04-09 11:59 | 2.1K | ||
| kidgoat.jpg | 2023-07-11 14:07 | 96K | ||
| kidgoat.txt | 2026-04-09 13:52 | 1.3K | ||
| kit_kat_cuts_1.jpg | 2023-07-11 14:07 | 1.2M | ||
| kit_kat_cuts_1.txt | 2026-04-09 15:46 | 805 | ||
| kit_kat_cuts_2.jpg | 2023-07-11 14:07 | 1.2M | ||
| kit_kat_cuts_2.txt | 2026-04-09 15:44 | 1.3K | ||
| kit_kat_cuts_3.jpg | 2023-07-11 14:07 | 1.3M | ||
| kit_kat_cuts_3.txt | 2026-04-09 15:49 | 1.3K | ||
| kit_kat_cuts_4.jpg | 2023-07-11 14:07 | 2.8M | ||
| kit_kat_cuts_4.txt | 2026-04-09 16:05 | 3.7K | ||
| kitkat_bite.jpg | 2023-07-11 14:07 | 98K | ||
| kitkat_bite.txt | 2026-04-09 13:53 | 1.3K | ||
| kitkat_break.jpg | 2023-07-11 14:07 | 51K | ||
| kitkat_break.txt | 2026-04-09 12:56 | 1.4K | ||
| kitkat_whole.jpg | 2023-07-11 14:07 | 86K | ||
| kitkat_whole.txt | 2026-04-09 13:38 | 948 | ||
| koala.jpg | 2023-07-11 14:07 | 470K | ||
| koala.txt | 2026-04-09 15:20 | 1.6K | ||
| l101_exam_durations.png | 2025-03-20 17:46 | 58K | ||
| l101_exam_durations.txt | 2026-04-09 13:06 | 6.5K | ||
| lab_rat.jpg | 2023-07-11 14:07 | 36K | ||
| lab_rat.txt | 2026-04-09 12:21 | 1.3K | ||
| labubu_lakiki.png | 2025-09-09 13:32 | 413K | ||
| labubu_lakiki.txt | 2026-04-09 16:14 | 13K | ||
| langtonsant.gif | 2023-07-11 14:07 | 702K | ||
| langtonsant.txt | 2026-04-09 15:33 | 611 | ||
| langtonsant2.gif | 2023-07-11 14:07 | 91K | ||
| langtonsant2.txt | 2026-04-09 13:43 | 1.0K | ||
| langtonsant3.gif | 2023-07-11 14:07 | 14K | ||
| langtonsant3.txt | 2026-04-09 11:47 | 626 | ||
| laptop.png | 2023-07-11 14:07 | 34K | ||
| laptop.txt | 2026-04-09 12:16 | 1.3K | ||
| latex_sample_code.jpg | 2023-07-11 14:07 | 267K | ||
| latex_sample_code.txt | 2026-04-09 14:58 | 2.9K | ||
| latex_sample_gen.jpg | 2023-07-11 14:07 | 61K | ||
| latex_sample_gen.txt | 2026-04-09 13:11 | 2.0K | ||
| lawyer.jpg | 2023-07-11 14:07 | 11K | ||
| lawyer.txt | 2026-04-09 11:42 | 1.3K | ||
| legos.jpg | 2023-07-11 14:07 | 2.8M | ||
| legos.txt | 2026-04-09 16:06 | 2.0K | ||
| lhc.jpg | 2023-07-11 14:07 | 451K | ||
| lhc.txt | 2026-04-09 15:18 | 2.1K | ||
| lilbub.jpg | 2023-07-11 14:07 | 235K | ||
| lilbub.txt | 2026-04-09 14:49 | 1.4K | ||
| lingmajorcastle.jpg | 2023-10-03 11:05 | 149K | ||
| lingmajorcastle.txt | 2026-04-09 14:29 | 1.9K | ||
| linguistics_circles.jpg | 2023-07-11 14:07 | 443K | ||
| linguistics_circles.txt | 2026-04-09 15:17 | 265 | ||
| loading.gif | 2023-07-11 14:07 | 8.6K | ||
| loading.txt | 2026-04-09 11:41 | 930 | ||
| lorch_hall.jpg | 2023-07-11 14:07 | 2.4M | ||
| lupin.jpg | 2023-07-11 14:07 | 112K | ||
| lupin.txt | 2026-04-09 14:07 | 1.5K | ||
| magic.jpg | 2023-07-11 14:07 | 65K | ||
| magic.txt | 2026-04-09 13:19 | 1.2K | ||
| manauslevels.jpg | 2023-07-11 14:07 | 164K | ||
| manauslevels.txt | 2026-04-09 14:33 | 1.2K | ||
| manauswater.jpg | 2024-03-07 23:52 | 108K | ||
| manauswater.txt | 2026-04-09 14:03 | 2.5K | ||
| marc_legacy.jpg | 2023-07-11 14:07 | 85K | ||
| marc_legacy.txt | 2026-04-09 13:37 | 2.1K | ||
| markdown_code.jpg | 2023-07-11 14:07 | 142K | ||
| markdown_code.txt | 2026-04-09 14:25 | 2.3K | ||
| markdown_output.jpg | 2023-07-11 14:07 | 115K | ||
| markdown_output.txt | 2026-04-09 14:11 | 2.1K | ||
| meanwhile_in_australia.jpeg | 2023-07-11 14:07 | 47K | ||
| meanwhile_in_australia.txt | 2026-04-09 12:48 | 1.4K | ||
| meet_me_here.jpg | 2023-07-11 14:07 | 830K | ||
| meet_me_here.txt | 2026-04-09 15:40 | 1.0K | ||
| michaelbay.jpg | 2023-07-11 14:07 | 17K | ||
| michaelbay.txt | 2026-04-09 11:53 | 1.4K | ||
| michaelbay2.jpg | 2023-07-11 14:07 | 13K | ||
| michaelbay2.txt | 2026-04-09 11:46 | 11K | ||
| michaelbay3.jpg | 2023-07-11 14:07 | 110K | ||
| michaelbay3.txt | 2026-04-09 14:04 | 1.1K | ||
| michaelbay4.jpg | 2023-07-11 14:07 | 17K | ||
| michaelbay4.txt | 2026-04-09 11:33 | 42 | ||
| michaelbay5.jpg | 2023-07-11 14:07 | 45K | ||
| michaelbay5.txt | 2026-04-09 12:41 | 13K | ||
| michigan_lorch.jpg | 2023-07-11 14:07 | 2.4M | ||
| mickey.jpg | 2023-07-11 14:07 | 77K | ||
| mickey.txt | 2026-04-09 13:31 | 1.4K | ||
| microsd.jpg | 2023-07-11 14:07 | 243K | ||
| microsd.txt | 2026-04-09 14:52 | 9.0K | ||
| morepuns.png | 2023-07-11 14:07 | 473K | ||
| morepuns.txt | 2026-04-09 15:20 | 1.1K | ||
| morpheus.jpg | 2023-07-11 14:07 | 96K | ||
| morpheus.txt | 2026-04-09 13:52 | 1.5K | ||
| nazi.png | 2023-07-11 14:07 | 32K | ||
| nazi.txt | 2026-04-09 12:15 | 2.0K | ||
| negro.png | 2023-07-11 14:07 | 38K | ||
| negro.txt | 2026-04-09 12:26 | 2.0K | ||
| neuralnetwork.jpg | 2023-07-11 14:07 | 72K | ||
| neuralnetwork.txt | 2026-04-09 13:26 | 1.8K | ||
| news.png | 2023-07-11 14:07 | 2.2M | ||
| news.txt | 2026-04-09 16:01 | 1.3K | ||
| ngram_atomicbombhidden.png | 2023-07-11 14:07 | 56K | ||
| ngram_atomicbombhidden.txt | 2026-04-09 13:03 | 1.9K | ||
| ngram_colorterms.png | 2023-07-11 14:07 | 101K | ||
| ngram_colorterms.txt | 2026-04-09 13:55 | 2.6K | ||
| ngram_retarded.png | 2023-07-11 14:07 | 65K | ||
| ngram_retarded.txt | 2026-04-09 13:17 | 2.1K | ||
| ngram_rocket.png | 2023-07-11 14:07 | 57K | ||
| ngram_rocket.txt | 2026-04-09 13:05 | 2.1K | ||
| ngram_spam.png | 2023-07-11 14:07 | 56K | ||
| ngram_spam.txt | 2026-04-09 13:02 | 1.6K | ||
| nimchimpsky.jpg | 2023-07-11 14:07 | 52K | ||
| nimchimpsky.txt | 2026-04-09 11:38 | 1.4K | ||
| ninja.jpg | 2024-01-30 11:20 | 254K | ||
| ninja.txt | 2026-04-09 14:55 | 2.2K | ||
| nn_adversarial.png | 2024-04-25 10:59 | 712K | ||
| nn_adversarial.txt | 2026-04-09 15:34 | 2.6K | ||
| nn_carbonfootprint.png | 2024-04-24 21:07 | 129K | ||
| nn_carbonfootprint.txt | 2026-04-09 14:15 | 1.9K | ||
| nn_conv_features.jpg | 2024-04-27 00:02 | 321K | ||
| nn_conv_features.txt | 2026-04-09 15:03 | 2.6K | ||
| nn_conv_fullpath.jpg | 2024-04-27 00:26 | 137K | ||
| nn_conv_fullpath.txt | 2026-04-09 14:21 | 3.0K | ||
| nn_conv_meanmaxpool.jpg | 2024-04-27 00:10 | 63K | ||
| nn_conv_meanmaxpool.txt | 2026-04-09 13:13 | 12K | ||
| nn_conv_shrinking.jpg | 2024-04-27 00:20 | 74K | ||
| nn_conv_shrinking.txt | 2026-04-09 13:29 | 2.0K | ||
| nn_conv_zhuetal.png | 2024-04-27 00:22 | 177K | ||
| nn_conv_zhuetal.txt | 2026-04-09 14:37 | 2.4K | ||
| nn_convfilter.jpg | 2024-04-27 00:00 | 131K | ||
| nn_convfilter.txt | 2026-04-09 14:17 | 1.8K | ||
| nn_gan.jpg | 2024-04-25 22:22 | 53K | ||
| nn_gan.txt | 2026-04-09 13:01 | 2.3K | ||
| nn_transformer.jpg | 2024-04-27 00:47 | 256K | ||
| nn_transformer.txt | 2026-04-09 14:56 | 3.1K | ||
| no_longer_dating.jpg | 2023-07-11 14:07 | 48K | ||
| no_longer_dating.txt | 2026-04-09 12:50 | 1.5K | ||
| noise_cancelling_headphones.jpg | 2023-07-11 14:07 | 6.1K | ||
| noise_cancelling_headphones.txt | 2026-04-09 11:40 | 1.5K | ||
| nonexistent_guy.jpg | 2023-07-11 14:07 | 65K | ||
| nonexistent_guy.txt | 2026-04-09 13:16 | 1.1K | ||
| noseinfeld.jpg | 2023-07-11 14:07 | 168K | ||
| noseinfeld.txt | 2026-04-09 14:35 | 11K | ||
| notebook.png | 2023-07-11 14:07 | 120K | ||
| notebook.txt | 2026-04-09 14:12 | 1.4K | ||
| nps_hikeingroups.jpg | 2023-07-11 14:07 | 150K | ||
| nps_hikeingroups.txt | 2026-04-09 14:29 | 1.1K | ||
| nsa.jpg | 2023-07-11 14:07 | 233K | ||
| nsa.txt | 2026-04-09 14:49 | 11K | ||
| obama.jpg | 2023-07-11 14:07 | 64K | ||
| obama.txt | 2026-04-09 13:14 | 1.1K | ||
| object.jpg | 2023-07-11 14:07 | 217K | ||
| object.txt | 2026-04-09 14:46 | 1.4K | ||
| oed_nerd.jpg | 2023-07-11 14:07 | 757K | ||
| oed_nerd.txt | 2026-04-09 15:37 | 1.4K | ||
| office.jpg | 2023-07-11 14:07 | 47K | ||
| office.txt | 2026-04-09 12:47 | 2.7K | ||
| officebackground.jpg | 2023-07-11 14:07 | 408K | ||
| officebackground.txt | 2026-04-09 15:14 | 2.3K | ||
| onering.jpg | 2023-07-11 14:07 | 26K | ||
| onering.txt | 2026-04-09 12:02 | 1.3K | ||
| onion.jpg | 2023-07-11 14:07 | 17K | ||
| onion.txt | 2026-04-09 11:52 | 1.4K | ||
| optimus.jpg | 2023-07-11 14:07 | 44K | ||
| optimus.txt | 2026-04-09 12:37 | 1.6K | ||
| orly.jpg | 2023-07-11 14:07 | 41K | ||
| orly.txt | 2026-04-09 12:33 | 1.0K | ||
| overfitting.png | 2023-07-11 14:07 | 87K | ||
| overfitting.txt | 2026-04-09 13:40 | 1.6K | ||
| palpatine.jpg | 2023-07-11 14:07 | 68K | ||
| palpatine.txt | 2026-04-09 13:22 | 961 | ||
| paperbag.jpg | 2023-07-11 14:07 | 74K | ||
| paperbag.txt | 2026-04-09 13:28 | 1.1K | ||
| parachute.jpg | 2023-07-11 14:07 | 20K | ||
| parachute.txt | 2026-04-09 11:56 | 1.3K | ||
| parachute.webp | 2024-01-30 11:24 | 275K | ||
| parchment.jpg | 2023-07-11 14:07 | 561K | ||
| parchment.txt | 2026-04-09 15:27 | 936 | ||
| pen.jpg | 2023-07-11 14:07 | 350K | ||
| pen.txt | 2026-04-09 15:09 | 4.9K | ||
| pencil.jpg | 2023-07-11 14:07 | 16K | ||
| pencil.txt | 2026-04-09 11:51 | 1.0K | ||
| perishable_manager.jpg | 2023-07-11 14:07 | 528K | ||
| perishable_manager.txt | 2026-04-09 15:24 | 4.7K | ||
| pieeating.jpg | 2023-07-11 14:07 | 73K | ||
| pieeating.txt | 2026-04-09 13:27 | 2.3K | ||
| plug.jpg | 2023-07-11 14:07 | 18K | ||
| plug.txt | 2026-04-09 11:54 | 14K | ||
| plug.webp | 2024-01-30 11:16 | 166K | ||
| poppies.jpg | 2023-07-11 14:07 | 79K | ||
| poppies.txt | 2026-04-09 13:33 | 1.0K | ||
| popvssoda.jpg | 2023-07-11 14:07 | 248K | ||
| popvssoda.txt | 2026-04-09 14:53 | 2.4K | ||
| potato.jpg | 2023-07-11 14:07 | 92K | ||
| potato.txt | 2026-04-09 13:45 | 1.4K | ||
| prairiedog.jpg | 2023-07-11 14:07 | 75K | ||
| prairiedog.txt | 2026-04-09 13:29 | 1.9K | ||
| proceedwithcaution.png | 2023-07-11 14:07 | 7.4K | ||
| proceedwithcaution.txt | 2026-04-09 11:41 | 882 | ||
| puzzleworld.jpg | 2023-07-11 14:07 | 4.1M | ||
| puzzleworld.txt | 2026-04-09 16:13 | 1.9K | ||
| qualcomm_thinphone.jpeg | 2023-07-11 14:07 | 35K | ||
| qualcomm_thinphone.txt | 2026-04-09 12:21 | 11K | ||
| quizzicaldog.jpg | 2023-07-11 14:07 | 34K | ||
| quizzicaldog.txt | 2026-04-09 12:17 | 1.2K | ||
| rasp.jpg | 2023-07-11 14:07 | 81K | ||
| rasp.txt | 2026-04-09 13:34 | 1.4K | ||
| ravioli_sandwich_dumpling.jpg | 2023-07-11 14:07 | 65K | ||
| ravioli_sandwich_dumpling.txt | 2026-04-09 13:16 | 1.9K | ||
| really.gif | 2023-07-11 14:07 | 1.5M | ||
| really.txt | 2026-04-09 15:52 | 1.0K | ||
| realtimevoicetovoice.jpg | 2025-03-22 00:16 | 104K | ||
| realtimevoicetovoice.txt | 2026-04-09 14:00 | 1.8K | ||
| recursion_chomsky.jpg | 2023-07-11 14:07 | 79K | ||
| recursion_chomsky.txt | 2026-04-09 13:33 | 1.9K | ||
| redpill.jpg | 2023-07-11 14:07 | 46K | ||
| redpill.txt | 2026-04-09 12:45 | 14K | ||
| restaurant.jpg | 2023-07-11 14:07 | 81K | ||
| restaurant.txt | 2026-04-09 13:34 | 1.9K | ||
| rincon_esquina.jpg | 2023-07-11 14:07 | 314K | ||
| rincon_esquina.txt | 2026-04-09 15:02 | 1.9K | ||
| rivendell.jpg | 2023-07-11 14:07 | 483K | ||
| rivendell.txt | 2026-04-09 15:22 | 2.2K | ||
| rock_medusa.jpg | 2023-07-11 14:07 | 1.0M | ||
| rock_medusa.txt | 2026-04-09 15:43 | 526 | ||
| rockcontrast.jpg | 2023-07-11 14:07 | 290K | ||
| rockcontrast.txt | 2026-04-09 14:58 | 1.5K | ||
| rofl.jpg | 2023-07-11 14:07 | 30K | ||
| rofl.txt | 2026-04-09 12:10 | 1.3K | ||
| rooster.jpg | 2023-07-11 14:07 | 5.5K | ||
| rooster.txt | 2026-04-09 11:39 | 1.1K | ||
| roosters.png | 2023-07-11 14:07 | 225K | ||
| roosters.txt | 2026-04-09 14:47 | 13K | ||
| rosettastone.jpg | 2023-07-11 14:07 | 366K | ||
| rosettastone.txt | 2026-04-09 15:10 | 1.9K | ||
| rosettastone_photo.jpg | 2023-07-11 14:07 | 1.7M | ||
| rosettastone_photo.txt | 2026-04-09 15:53 | 2.1K | ||
| rubber_hose.png | 2023-07-11 14:07 | 26K | ||
| rubber_hose.txt | 2026-04-09 12:02 | 1.6K | ||
| sadcthulhu.jpg | 2023-07-11 14:07 | 9.8K | ||
| sadcthulhu.txt | 2026-04-09 11:42 | 1.1K | ||
| sampler.jpg | 2023-07-11 14:07 | 50K | ||
| sampler.txt | 2026-04-09 12:52 | 1.6K | ||
| sand_ripples.jpg | 2023-07-11 14:07 | 841K | ||
| sand_ripples.txt | 2026-04-09 15:40 | 1.5K | ||
| saruman.jpg | 2023-07-11 14:07 | 47K | ||
| saruman.txt | 2026-04-09 12:48 | 1.4K | ||
| satan.jpg | 2023-07-11 14:07 | 30K | ||
| satan.txt | 2026-04-09 12:08 | 1.2K | ||
| sauron.jpg | 2023-07-11 14:07 | 134K | ||
| sauron.txt | 2026-04-09 14:20 | 1.1K | ||
| scar.jpg | 2023-07-11 14:07 | 24K | ||
| scar.txt | 2026-04-09 12:00 | 1.2K | ||
| schwaandcrossphones.png | 2023-07-11 14:07 | 116K | ||
| scotland_speedsign.jpg | 2023-07-11 14:07 | 28K | ||
| scotland_speedsign.txt | 2026-04-09 12:05 | 15K | ||
| second_languages.jpg | 2023-07-11 14:07 | 2.0M | ||
| second_languages.txt | 2026-04-09 15:59 | 12K | ||
| segway.jpg | 2023-07-11 14:07 | 64K | ||
| segway.txt | 2026-04-09 11:33 | 1.6K | ||
| sellyouriron.jpg | 2023-07-11 14:07 | 203K | ||
| sellyouriron.txt | 2026-04-09 14:42 | 905 | ||
| sex.png | 2023-07-11 14:07 | 41K | ||
| sex.txt | 2026-04-09 12:33 | 1.7K | ||
| siri.jpg | 2023-07-11 14:07 | 42K | ||
| siri.txt | 2026-04-09 12:34 | 1.0K | ||
| sleep.png | 2023-07-11 14:07 | 39K | ||
| sleep.txt | 2026-04-09 12:28 | 1.8K | ||
| sleeptoken.png | 2025-10-13 18:22 | 13K | ||
| sleeptoken.txt | 2026-04-09 16:15 | 1.1K | ||
| smeagol.jpg | 2023-07-11 14:07 | 91K | ||
| smeagol.txt | 2026-04-09 13:43 | 1.1K | ||
| snowflake.jpg | 2023-07-11 14:07 | 101K | ||
| snowflake.txt | 2026-04-09 13:54 | 1.7K | ||
| soapbox.jpg | 2023-07-11 14:07 | 56K | ||
| soapbox.txt | 2026-04-09 13:02 | 1.2K | ||
| soundwave.jpg | 2024-04-26 22:55 | 12K | ||
| soundwave.txt | 2026-04-09 11:43 | 1.4K | ||
| speechrec.jpg | 2023-07-11 14:07 | 212K | ||
| speechrec.txt | 2026-04-09 14:44 | 1.2K | ||
| speechrec_movies1.png | 2023-07-11 14:07 | 1.2M | ||
| speechrec_movies1.txt | 2026-04-09 15:46 | 1.8K | ||
| speechrec_movies2.png | 2023-07-11 14:07 | 424K | ||
| speechrec_movies2.txt | 2026-04-09 15:15 | 1.3K | ||
| stablediffusion_beach_san_diego_kitten_spaceship_silverware_motorcycle_dinosaur__by_Thomas_Kinkade_Seed-5923967_Steps-50_Guidance-14.jpg | 2023-07-11 14:07 | 302K | ||
| stablediffusion_beach_san_diego_kitten_spaceship_silverware_motorcycle_dinosaur__by_Thomas_Kinkade_Seed-5923967_Steps-50_Guidance-14.txt | 2026-04-09 15:01 | 2.5K | ||
| stardestroyer.png | 2023-07-11 14:07 | 295K | ||
| stardestroyer.txt | 2026-04-09 14:59 | 2.1K | ||
| static.jpg | 2023-07-11 14:07 | 531K | ||
| static.txt | 2026-04-09 15:25 | 787 | ||
| stop.jpg | 2023-07-11 14:07 | 125K | ||
| stop.txt | 2026-04-09 14:13 | 1.0K | ||
| stopwatch.png | 2023-07-11 14:07 | 798K | ||
| stopwatch.txt | 2026-04-09 15:39 | 4.2K | ||
| subwoofers.jpg | 2023-07-11 14:07 | 39K | ||
| subwoofers.txt | 2026-04-09 12:28 | 1.4K | ||
| sugarhillgang.jpg | 2023-07-11 14:07 | 23K | ||
| sugarhillgang.txt | 2026-04-09 11:59 | 1.6K | ||
| sundial.jpg | 2023-07-11 14:07 | 77K | ||
| sundial.txt | 2026-04-09 13:31 | 1.6K | ||
| superman.jpg | 2023-07-11 14:07 | 56K | ||
| superman.txt | 2026-04-09 13:04 | 1.6K | ||
| surprisedpikachu.jpg | 2023-07-11 14:07 | 80K | ||
| surprisedpikachu.txt | 2026-04-09 13:33 | 1.2K | ||
| surreal_despain_prodigal_son.jpg | 2023-07-11 14:07 | 58K | ||
| surreal_despain_prodigal_son.txt | 2026-04-09 13:08 | 1.4K | ||
| survivorship_bias.png | 2025-05-28 10:34 | 133K | ||
| survivorship_bias.txt | 2026-04-09 14:19 | 11K | ||
| survivorship_bias_ai.jpg | 2025-05-28 10:38 | 72K | ||
| survivorship_bias_ai.txt | 2026-04-09 13:26 | 1.3K | ||
| swag.png | 2023-07-11 14:07 | 66K | ||
| swag.txt | 2026-04-09 13:20 | 1.6K | ||
| swiffer.jpg | 2023-07-11 14:07 | 700K | ||
| symbolismconsonants.png | 2023-07-11 14:07 | 1.4M | ||
| symbolismconsonants.txt | 2026-04-09 15:50 | 1.9K | ||
| symbolismvowels.png | 2023-07-11 14:07 | 669K | ||
| symbolismvowels.txt | 2026-04-09 15:32 | 1.9K | ||
| tangrams.jpg | 2023-07-11 14:07 | 185K | ||
| tangrams.txt | 2026-04-09 14:40 | 15K | ||
| technical_difficulties.jpg | 2023-07-11 14:07 | 13K | ||
| technical_difficulties.txt | 2026-04-09 11:47 | 1.1K | ||
| teddybear.png | 2023-07-11 14:07 | 554K | ||
| teddybear.txt | 2026-04-09 15:26 | 1.5K | ||
| temptation.jpg | 2023-07-11 14:07 | 556K | ||
| temptation.txt | 2026-04-09 15:26 | 1.4K | ||
| terminator.png | 2023-07-11 14:07 | 1.4M | ||
| terminator.txt | 2026-04-09 15:51 | 1.8K | ||
| that_shit_in_college.jpg | 2023-07-11 14:07 | 1.0M | ||
| that_shit_in_college.txt | 2026-04-09 15:42 | 1.6K | ||
| therock.jpg | 2023-07-11 14:07 | 20K | ||
| therock.txt | 2026-04-09 11:55 | 1.1K | ||
| tiger.jpg | 2023-07-11 14:07 | 110K | ||
| tiger.txt | 2026-04-09 14:04 | 1.2K | ||
| tinylibrary.jpg | 2023-07-11 14:07 | 51K | ||
| tinylibrary.txt | 2026-04-09 12:53 | 2.1K | ||
| tipoficeberg.jpg | 2024-01-30 11:11 | 207K | ||
| tipoficeberg.txt | 2026-04-09 14:43 | 1.7K | ||
| tonybeets.jpg | 2023-07-11 14:07 | 86K | ||
| tonybeets.txt | 2026-04-09 13:38 | 11K | ||
| trainwreck.jpg | 2023-07-11 14:07 | 531K | ||
| trainwreck.txt | 2026-04-09 15:25 | 2.3K | ||
| transformers.jpg | 2024-08-26 09:25 | 65K | ||
| transformers.txt | 2026-04-09 13:19 | 1.7K | ||
| trees.jpg | 2023-07-11 14:07 | 578K | ||
| trees.txt | 2026-04-09 15:28 | 1.4K | ||
| trenchwarfare.jpg | 2023-07-11 14:07 | 45K | ||
| trenchwarfare.txt | 2026-04-09 12:39 | 1.8K | ||
| trenchwarfare2.jpg | 2023-07-11 14:07 | 76K | ||
| trenchwarfare2.txt | 2026-04-09 13:30 | 1.7K | ||
| tritonday.jpg | 2023-07-11 14:07 | 30K | ||
| tritonday.txt | 2026-04-09 12:09 | 13K | ||
| trojanhorse.jpg | 2023-07-11 14:07 | 53K | ||
| trojanhorse.txt | 2026-04-09 12:57 | 2.0K | ||
| truck_base.jpg | 2023-07-11 14:07 | 170K | ||
| truck_base.txt | 2026-04-09 14:36 | 1.6K | ||
| truck_elcamino.jpg | 2023-07-11 14:07 | 114K | ||
| truck_elcamino.txt | 2026-04-09 11:34 | 1.8K | ||
| truck_firetruck.jpg | 2023-07-11 14:07 | 101K | ||
| truck_firetruck.txt | 2026-04-09 13:56 | 2.1K | ||
| truck_hamster.jpg | 2023-07-11 14:07 | 516K | ||
| truck_hamster.txt | 2026-04-09 15:23 | 1.2K | ||
| truck_penguin.jpg | 2023-07-11 14:07 | 42K | ||
| truck_penguin.txt | 2026-04-09 12:35 | 1.6K | ||
| truck_pickup.jpg | 2023-07-11 14:07 | 113K | ||
| truck_pickup.txt | 2026-04-09 14:09 | 1.8K | ||
| truck_realtoy.jpg | 2023-07-11 14:07 | 1.1M | ||
| truck_realtoy.txt | 2026-04-09 15:44 | 1.7K | ||
| truck_schoolbus.jpg | 2023-07-11 14:07 | 119K | ||
| truck_schoolbus.txt | 2026-04-09 14:11 | 1.5K | ||
| truck_semi.jpg | 2023-07-11 14:07 | 107K | ||
| truck_semi.txt | 2026-04-09 14:02 | 1.7K | ||
| truck_skateboard.jpg | 2023-07-11 14:07 | 3.3M | ||
| truck_skateboard.txt | 2026-04-09 16:07 | 1.2K | ||
| truck_suv.jpg | 2023-07-11 14:07 | 584K | ||
| truck_suv.txt | 2026-04-09 15:29 | 1.8K | ||
| tubeguy.jpg | 2023-07-11 14:07 | 7.1K | ||
| tubeguy.txt | 2026-04-09 11:37 | 1.2K | ||
| typewriter 2.png | 2023-07-11 14:07 | 42K | ||
| typewriter 2.txt | 2026-04-09 12:35 | 1.9K | ||
| typewriterhidden.png | 2023-07-11 14:07 | 39K | ||
| typewriterhidden.txt | 2026-04-09 12:29 | 2.0K | ||
| ucsd_logo.jpg | 2023-07-11 14:07 | 50K | ||
| ucsd_logo.txt | 2026-04-09 12:52 | 759 | ||
| ucsdseal.png | 2023-07-11 14:07 | 378K | ||
| ucsdseal.txt | 2026-04-09 15:11 | 1.5K | ||
| umich_seal.jpg | 2023-07-11 14:07 | 172K | ||
| umich_seal.txt | 2026-04-09 11:35 | 1.4K | ||
| unclear.jpg | 2023-07-11 14:07 | 135K | ||
| unclear.txt | 2026-04-09 14:20 | 1.7K | ||
| ungrammatical.jpg | 2023-07-11 14:07 | 86K | ||
| ungrammatical.txt | 2026-04-09 13:39 | 949 | ||
| ussrh.png | 2023-07-11 14:07 | 40K | ||
| ussrh.txt | 2026-04-09 12:31 | 1.7K | ||
| ussrhidden.png | 2023-07-11 14:07 | 36K | ||
| ussrhidden.txt | 2026-04-09 12:22 | 1.8K | ||
| vagueness.jpg | 2023-07-11 14:07 | 17K | ||
| vagueness.txt | 2026-04-09 11:53 | 964 | ||
| vb_2001.jpg | 2023-07-11 14:07 | 1.0M | ||
| vb_2001.txt | 2026-04-09 15:43 | 1.8K | ||
| vb_batcave.jpeg | 2023-07-11 14:07 | 1.3M | ||
| vb_batcave.txt | 2026-04-09 15:49 | 1.5K | ||
| vb_falcon.jpg | 2023-07-11 14:07 | 383K | ||
| vb_falcon.txt | 2026-04-09 15:12 | 2.2K | ||
| vb_khil.jpg | 2023-07-11 14:07 | 624K | ||
| vb_khil.txt | 2026-04-09 15:31 | 244 | ||
| vb_mars.JPG | 2023-07-11 14:07 | 1.3M | ||
| vb_mars.txt | 2026-04-09 15:48 | 1.5K | ||
| vb_matrix.jpg | 2023-07-11 14:07 | 1.7M | ||
| vb_matrix.txt | 2026-04-09 15:54 | 810 | ||
| vb_moon.jpg | 2023-07-11 14:07 | 2.1M | ||
| vb_moon.txt | 2026-04-09 16:00 | 5.4K | ||
| vb_nyan.jpg | 2023-07-11 14:07 | 43K | ||
| vb_nyan.txt | 2026-04-09 11:37 | 1.3K | ||
| vb_officestanding.jpg | 2023-07-11 14:07 | 300K | ||
| vb_officestanding.txt | 2026-04-09 15:00 | 2.3K | ||
| vb_phonlab.jpg | 2023-07-11 14:07 | 562K | ||
| vb_phonlab.txt | 2026-04-09 15:27 | 2.2K | ||
| vb_rickroll.jpeg | 2023-07-11 14:07 | 114K | ||
| vb_rickroll.txt | 2026-04-09 14:10 | 1.5K | ||
| vb_rivendell.JPG | 2023-07-11 14:07 | 718K | ||
| vb_rivendell.txt | 2026-04-09 15:35 | 1.9K | ||
| vb_sixth.jpg | 2023-07-11 14:07 | 1.8M | ||
| vb_sixth.txt | 2026-04-09 15:56 | 2.3K | ||
| vb_stardestroyer.jpg | 2023-07-11 14:07 | 91K | ||
| vb_stardestroyer.txt | 2026-04-09 13:44 | 1.7K | ||
| vb_stonks.jpg | 2023-07-11 14:07 | 454K | ||
| vb_stonks.txt | 2026-04-09 15:18 | 3.3K | ||
| vb_tatooine.JPG | 2023-07-11 14:07 | 123K | ||
| vb_tatooine.txt | 2026-04-09 14:13 | 1.6K | ||
| vb_thisisfine.jpeg | 2023-07-11 14:07 | 99K | ||
| vb_thisisfine.txt | 2026-04-09 13:54 | 1.5K | ||
| vb_winxp.jpeg | 2023-07-11 14:07 | 258K | ||
| vb_winxp.txt | 2026-04-09 14:56 | 1.6K | ||
| vb_yavin.JPG | 2023-07-11 14:07 | 1.5M | ||
| vb_yavin.txt | 2026-04-09 15:52 | 2.0K | ||
| vb_zion.jpeg | 2023-07-11 14:07 | 532K | ||
| vb_zion.txt | 2026-04-09 15:25 | 1.8K | ||
| vhs.png | 2023-07-11 14:07 | 38K | ||
| vhs.txt | 2026-04-09 12:27 | 1.5K | ||
| vitriol.png | 2023-07-11 14:07 | 47K | ||
| vitriol.txt | 2026-04-09 12:46 | 2.2K | ||
| voldemort.jpg | 2023-07-11 14:07 | 43K | ||
| voldemort.txt | 2026-04-09 12:36 | 1.1K | ||
| voynich.jpg | 2023-07-11 14:07 | 331K | ||
| voynich.txt | 2026-04-09 15:04 | 1.9K | ||
| voynich2.jpg | 2023-07-11 14:07 | 247K | ||
| voynich2.txt | 2026-04-09 14:52 | 1.7K | ||
| walk.png | 2023-07-11 14:07 | 38K | ||
| walk.txt | 2026-04-09 12:26 | 1.5K | ||
| war.png | 2023-07-11 14:07 | 37K | ||
| war.txt | 2026-04-09 12:24 | 2.2K | ||
| warning.gif | 2023-07-11 14:07 | 390K | ||
| warning.txt | 2026-04-09 15:12 | 1.0K | ||
| warningminimalism.jpg | 2023-07-11 14:07 | 39K | ||
| warningminimalism.txt | 2026-04-09 12:30 | 816 | ||
| watson.png | 2023-07-11 14:07 | 249K | ||
| watson.txt | 2026-04-09 14:54 | 1.9K | ||
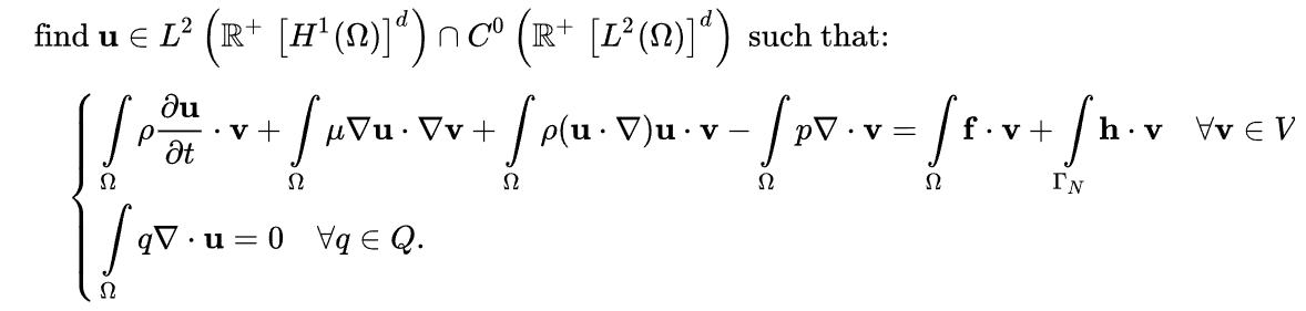
| weak_navier_stokes.png | 2024-04-15 22:25 | 41K | ||
| weak_navier_stokes.txt | 2026-04-09 12:34 | 1.7K | ||
| weasleys.jpg | 2023-07-11 14:07 | 469K | ||
| weasleys.txt | 2026-04-09 15:19 | 4.3K | ||
| whorf.png | 2023-07-11 14:07 | 51K | ||
| whorf.txt | 2026-04-09 12:54 | 969 | ||
| willco2_day.jpg | 2024-03-07 23:50 | 67K | ||
| willco2_day.txt | 2026-04-09 13:21 | 2.2K | ||
| willco2_week.jpg | 2024-03-07 23:50 | 82K | ||
| willco2_week.txt | 2026-04-09 13:35 | 3.0K | ||
| winetasting.jpg | 2023-07-11 14:07 | 17K | ||
| winetasting.txt | 2026-04-09 11:52 | 1.5K | ||
| womenfiredangerousthings.jpg | 2023-07-11 14:07 | 26K | ||
| womenfiredangerousthings.txt | 2026-04-09 12:03 | 889 | ||
| wrong_step_discarded.jpg | 2024-02-28 08:37 | 472K | ||
| wrong_step_discarded.txt | 2026-04-09 15:20 | 934 | ||
| wug.png | 2023-07-11 14:07 | 69K | ||
| wug.txt | 2026-04-09 13:24 | 1.2K | ||
| xkcd_pronunciation.png | 2023-09-02 12:30 | 14K | ||
| xkcd_pronunciation.txt | 2026-04-09 11:49 | 13K | ||
| yoda.jpg | 2023-07-11 14:07 | 125K | ||
| yoda.txt | 2026-04-09 14:14 | 1.3K | ||